به فروشگاه اینترنتی آریاطب خوش آمدید!

قیمت همکاری مقالات تماس با ما ورود / ثبت نام
logo آریاطب

دسته بندی ها:

برند ها:

لندینگ:

محصولات:

09021429565 09337672002
سبد خرید
سبد خرید بستن
سبد خرید شما خالی می باشد!
دسته بندی ها
  • تجهیزات کاردرمانی
    • تجهیزات سرما و گرما درمانی
    • تجهیزات تمرین درمانی
    • تجهیزات مکانوتراپی
    • تجهیزات الکتروتراپی
    • تجهیزات ایستادن و راه رفتن
    • تجهیزات ارزیابی
    • تجهیزات اتاق تاریک
    • تجهیزات ورزشی _ توانبخشی
  • پزشکی خانگی
    • پانسمان نوین
      • پانسمان فوم
      • پانسمان آلژینات
      • پانسمان هیدروکلوئید
      • پانسمان فیلم شفاف
      • پانسمان هیدروژل
      • پانسمان فوق جاذب
      • پانسمان نقره
      • پانسمان کلاژن
      • پانسمان کامفیل
      • پانسمان عسل
      • سایر پانسمان ها
    • استومی
      • کیسه کلستومی
      • کیسه یوروستومی
      • کیسه ایلئوستومی
      • چسب پایه
      • سایر محصولات استومی
    • ارتوپدی توانبخشی
      • ویلچر
      • واکر
      • عصا
      • پد و کیسه آب گرم سرد
      • گرمکن پا
      • تشک پتوی برقی
      • بالابر بیمار
      • تشک مواج
      • توالت فرنگی
      • بالش طبی
      • ماساژور
    • دیابت
      • دستگاه تست قند خون
      • نوار تست قند خون
      • تزریق انسولین
      • سایر محصولات دیابت
    • سلامت محیط
      • دستگاه بخور
      • اکسیژن ساز
      • کپسول اکسیژن
      • مانومتر
      • سایر تجهیزات تنفسی
      • نبولایزر
    • سنجش سلامت
      • تب سنج دماسنج
      • ترازو
      • فشار سنج
    • مادر و کودک
      • شیردوش
      • بالش بارداری
    • پوشینه های پزشکی
      • جوراب واریس
      • شکم بند
      • زانو بند
      • قوز بند
      • مچ بند
      • ساق بند
      • آویز دست
      • قوزک بند
      • گن
      • گردنبند طبی
  • پزشکی تخصصی
    • مصرفی پزشکی
      • گاز کیلویی
      • گاز استریل
      • تیغ بیستوری
      • مواد ضدعفونی کننده
      • پنبه بهداشتی
      • دستکش پزشکی
      • باند پانسمان
      • سایر اقلام مصرفی
      • چسب
      • پد الکلی
      • تزریق
      • سیفتی باکس
      • زیرانداز بیمار
    • بیمارستانی
      • فتوتراپی زردی نوزاد
      • گوشی پزشکی
      • کابل دستگاه های پزشکی
      • سایر تجهیزات پزشکی
      • دستبند بیمار
      • کاغذ پزشکی
      • لامپ های پزشکی
      • چراغ معاینه
    • تجهیزات هتلینگ
      • تخت بستری
      • تابوره
      • تخت پوست و مو و زیبایی
      • ترالی
      • سایر اقلام هتلینگ
      • تخت معاينه
      • تخت ژنیکو
      • سایر تخت ها
      • برانکارد
      • تخت اتاق عمل
      • صندلی خونگیری
    • منسوجات
      • اسکراب جراحی
      • پک های جراحی
      • البسه بیمار
      • البسه پرسنلی
      • ملحفه زیرانداز
      • سایر محصولات
      • کلاه جراحی
      • سرجی فیکس
      • ملحفه یکبار مصرف
    • زنان و زایمان
      • مصرفی مطب
      • دستگاه فتال
      • دستگاه سونیکید
      • ای یو دی
      • دستگاه لیزر زنان
      • کاغذ سونوگرافی
      • ابزار جراحی زایمان
    • ارتوپدی
    • تصویر برداری
      • رادیولوژی
      • داروی ظهور ثبوت
      • روپوش سربی
    • قلب و عروق
      • کاغذ نوار قلب
      • مصرفی قلب عروق
      • پالس اکسیمتر
      • دستگاه های قلب و عروق
      • چست لید
    • مولاژ
      • مانکن های آموزش پزشکی
      • مولاژ آناتومی انسان
      • استخوان بندی بدن انسان
  • پوست مو زیبایی
    • پوست و مو
      • سایر محصولات زیبایی
      • نخ لیفت
      • میکرونیدلینگ
      • کیت پی ار پی
      • ابزار زیبایی
    • محصولات لاغری
      • دستگاه‌های لاغری
      • دستگاه های فارادیک
      • دستگاه جی فایو
    • دستگاه های پوست
      • دستگاه هیدروفیشیال
      • دستگاه هیدرودرمی
  • تجهیزات و مواد آزمایشگاهی
    • سکوبندی و تجهیز آزمایشگاه
      • سینک و شیرآلات آزمایشگاهی
    • مواد آزمایشگاهی
      • محیط کشت
      • محصولات بیولوژی مولکولی
      • اسید
      • محلول
      • الکل
      • پلیمر
      • شناساگر
      • ترکیب آلی
      • نانو
      • سوش باکتری
      • ترکیب معدنی
    • ابزار آزمایشگاهی
      • پیپت
      • فیلتر ها و کاغذ های صافی آزمایشگاهی
      • لام و لامل
    • ظروف آزمایشگاهی
      • بالن
      • ارلن
      • بشر
      • قیف
      • لوله
      • بورت
      • مزور
      • رک
      • مبرد
      • گیره
      • ظروف نگهداری
      • سایر ظروف
    • دستگاه آزمایشگاهی
      • بن ماری
      • روتاری آزمایشگاهی
      • میکسر هماتولوژی
      • اتوکلاو
      • شیکر
      • اتوکلاو کلاس b
      • ترازو آزمایشگاهی
      • سانتریفیوژ
      • فور
      • انکوباتور
      • ابزار سنجش
      • هود
      • کوره
      • هات پلیت
      • دستگاه آب مقطر گیری
      • سایر دستگاه‌ها
    • کیت آزمایشگاهی
      • کیت های زنان وزایمان
      • کیت ارزیابی اسپرم
      • کیت های اعتیاد
      • کیت های بیوشیمی
      • مارکر های قلبی
      • کیت غدد درون ریز
      • تست های بیماری های عفونی
      • تومور مارکرها
      • تست های کم خونی
      • تست های بیماری های خود ایمنی
      • تست های متابولیسم کلسیم
      • مارکر های دیابت | Diabetes Markers
      • مارکر های عملکرد کلیه
  • ابزار جراحی
    • ظروف استیل
    • جراحی عمومی
      • پنس
      • اکارتور
      • رانژور
      • استئوتوم
      • کلمپ جراحی
    • اره ارتوپدی | دریل ارتوپدی
    • ژنیکولوژی اورولوژی
    • قلب عروق
    • جراحی ارتوپدی
    • جراحی چشم
  • مواد و تجهیزات دندانپزشکی
    • مواد دندانپزشکی
      • مواد جرمگیری
      • کیت و مواد بلیچینگ
      • پودر استخوان
      • مواد اندو
      • گوتا پرکا
      • مواد ترمیمی
      • مواد قالبگیری
      • مواد عمومی
      • سمان ها
    • لوازم مصرفی دندانپزشکی
      • سینی یکبار مصرف
      • سرساکشن
      • وج
      • دهان بازکن
      • رول پنبه
      • نوار ماتریکس
      • سر سوزن
    • ابزار دندانپزشکی
      • ابزار استیل
      • ابزار قالبگیری
      • فرز
      • ابزار اندو
      • ابزار پالیش
      • ابزار ارتودنسی
      • ابزار ترمیمی
      • فورسپس
      • الواتور
      • سوند دندانپزشکی
      • رابردم
      • کلمپ دندانپزشکی
    • تجهیزات دندانپزشکی
      • لایت کیور دندانپزشکی
      • دندان پزشکی دیجیتال
      • اتوکلاو دندانپزشکی
      • تجهیز مطب
      • دوربین رادیوگرافی دیجیتال
      • وی پک
      • دستگاه جرمگیری
      • آنگل دندانپزشکی
      • هندپیس دندانپزشکی
      • توربین دندانپزشکی
      • ایرموتور دندانپزشکی
      • موتور روتاری اندو
      • موتور ایمپلنت
      • اپکس فایندر | اپکس لوکیتور
      • آمالگاماتور
      • ایریگیشن دندانپزشکی | اندو اكتيواتور
      • دستگاه پک اتوکلاو
    • واتر جت
  • خدمات پزشکی
    • خدمات پزشکی در منزل
      • خدمات ارتوپدی
      • خدمات آزمایشگاهی
      • خدمات پاراکلینیک
      • روانشناسی
      • پزشکی عمومی
      • ویزیت پزشک در منزل
      • کاردرمانی
      • خدمات دندانپزشکی
    • خدمات پرستاری در منزل
      • نگهداری کودک
      • مراقبت از سالمند
      • پرستاری از بیمار
      • نگهداری بیمار در بیمارستان
      • نگهداری از نوزاد
    • اجاره تجهیزات هتلینگ
    • اجاره دستگاه پزشکی
    • خانه سالمندان
    • اجاره دستگاه فتوتراپی
  • تعمیرات
    • چشم پزشکی
      • تعمیر اسلیت لمپ
      • تعمیر اتوسکوپ
      • تعمیر افتالموسکوپ
      • تعمیر بیومتری
      • تعمیر لنزومتر
      • تعمیر کراتومتر
      • تعمیر تونومتر
      • تعمیر پریمتری
      • تعمیر پاکیمتری
      • تعمیر توپوگرافی
      • لامپ چشم پزشکی
    • تعمیرات بیمارستانی
      • تعمیرات مانیتورینگ
      • تعمیر پمپ تزریق
      • تعمیر الکتروشوک
      • تعمیر تجهیزات هتلینگ
      • تعمیر سونوگرافی
      • تعمیر تصویربرداری
      • تعمیر سیگنال پزشکی
      • تعمیر سایر دستگاه ها
      • لامپ بیمارستانی
      • تعمیر باتری دستگاه پزشکی
    • تعمیرات دندانپزشکی
      • تعمیر عمومی و اپراتوری
      • تعمیر استریلیزاسیون
      • تعمیر تجهیزات تراش برش
      • تعمیر انواع اندو
      • تعمیر تجهیزات تشخیصی
      • تعمیر تجهیزات مطب
      • تعمیر پروتز و لابراتواری
      • تعمیر جراحی و ایمپلنتولوژی
      • لامپ دندانپزشکی
    • ازمایشگاهی
      • لامپ ازمایشگاهی
    • دستگاه های زیبایی
  • خانه
  • مقالات
    • توانبخشی
    • بیماری ها
      • دیابت و قند خون
      • بیماری های زنان
      • سایر بیماری ها
    • پوست مو
    • مادر فرزند
      • زردی نوزاد
      • بارداری
    • مهندسی پزشکی
    • اکسیژن (کپسول)
    • دانش نامه علوم زیستی
      • دستگاه آزمایشگاهی
      • ظروف آزمایشگاهی
      • مواد آزمایشگاهی
      • زیست مولکولی و ژنتیک
      • بیوشیمی و متابولیسم
      • میکروبیولوژی عمومی
      • قارچ‌ شناسی (مایکولوژی)
      • علوم اعصاب و نوروبیولوژی
      • فیزیولوژی جانوری و انسانی
      • فیزیولوژی و زیست‌ شناسی گیاهی
      • زیست‌ شناسی سلولی و بافت‌ شناسی
      • بیوفیزیک
      • بیوانفورماتیک و تحلیل داده‌های زیستی
      • اکولوژی و بوم‌ شناسی
      • علوم محیط زیست
      • زیست‌ فناوری (بیوتکنولوژی)
      • تکامل و ژنتیک جمعیت
      • جانور شناسی و رفتار جانوری
      • نانو فناوری
      • حیوانات آزمایشگاهی و اخلاق در پژوهش
      • فیلوژنی و درخت‌ های تبارزایی
      • آناتومی انسانی و تطبیقی
      • آناتومی ماکروسکوپی و میکروسکوپی
      • سرطان‌ شناسی (انکواوژی)
      • جنین‌ شناسی و تکوین
      • هماتولوژی
    • ابزار جراحی
    • دندانپزشکی
    • تجهیزات هتلینگ
    • مانکن پزشکی
    • جراحی زیبایی
    • پزشکی خانگی
      • گوشی پزشکی لیتمن
  • بانک اطلاعات
    • زیبایی
    • آزمایشگاه ها
    • پزشکان
    • اجاره دستگاه پزشکی
    • مراکز رادیولوژی
    • خانه پرستاری
    • بیمارستانی
    • تعمیرات کالیبراسیون
    • اجاره دستگاه زردی نوزاد
    • فروشندگان تجهیزات پزشکی
  • تماس با ما
پیگیری سفارش قیمت همکاری
قیمت همکاری

دسته بندی ها:

برند ها:

لندینگ:

محصولات:

مقالات بیوشیمی و متابولیسم

  • خانه
  • مقالات
  • دانش نامه علوم زیستی
  • بیوشیمی و متابولیسم
دسته بندی ها
  • توانبخشی ( 33 )
  • بیماری ها ( 74 )
  • پوست مو ( 205 )
  • مادر فرزند ( 49 )
  • مهندسی پزشکی ( 11 )
  • اکسیژن (کپسول) ( 1 )
  • دانش نامه علوم زیستی ( 369 )
  • ابزار جراحی ( 14 )
  • دندانپزشکی ( 85 )
  • تجهیزات هتلینگ ( 21 )
  • مانکن پزشکی ( 2 )
  • جراحی زیبایی ( 4 )
  • پزشکی خانگی ( 174 )
پست های محبوب
سگ‌ ها و نقشه برداری از دنیای پنهان قارچ‌ ها
۲۵ آذر ۱۴۰۴
سگ‌ ها و نقشه برداری از دنیای پنهان قارچ‌ ها
آیا ماهی‌ها می‌توانند مسیر درمان سرطان را تغییر دهند؟
۲۴ آذر ۱۴۰۴
آیا ماهی‌ها می‌توانند مسیر درمان سرطان را تغییر دهند؟
استراتژی‌ خفاش‌ ها برای پیمودن مسیرهای طولانی
۲۱ آذر ۱۴۰۴
استراتژی‌ خفاش‌ ها برای پیمودن مسیرهای طولانی
چگونه redox balance (NADH/NAD+) عملکرد متابولیک را تنظیم می‌کند؟
بیوشیمی و متابولیسم
چگونه redox balance (NADH/NAD+) عملکرد متابولیک را تنظیم می‌کند؟
توسط عذرا شعبانی - ۱۴۰۴/۰۵/۰۶ 0 نظرات
مسیر PPP (Pentose Phosphate Pathway)؛ نقش در بیوسنتز و آنتی‌اکسیدانی
بیوشیمی و متابولیسم
مسیر PPP (Pentose Phosphate Pathway)؛ نقش در بیوسنتز و آنتی‌اکسیدانی
توسط عذرا شعبانی - ۱۴۰۴/۰۵/۰۶ 0 نظرات
متابولیسم آمینواسید – محصولات واسطه مثل گلوتامین و گلوتامات
بیوشیمی و متابولیسم
متابولیسم آمینواسید – محصولات واسطه مثل گلوتامین و گلوتامات
توسط عذرا شعبانی - ۱۴۰۴/۰۵/۰۶ 0 نظرات
پیریمیدین و پورین بیوسنتز؛ مسیر و تنظیم آن
بیوشیمی و متابولیسم
پیریمیدین و پورین بیوسنتز؛ مسیر و تنظیم آن
توسط عذرا شعبانی - ۱۴۰۴/۰۵/۰۵ 0 نظرات
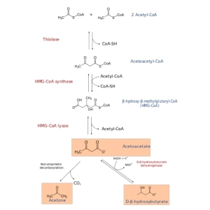
کتون‌سازی (Ketogenesis): دلیل و مسیر تولید کتون‌ها
بیوشیمی و متابولیسم
کتون‌سازی (Ketogenesis): دلیل و مسیر تولید کتون‌ها
توسط عذرا شعبانی - ۱۴۰۴/۰۵/۰۵ 0 نظرات
پروتئین فسفوریلاسیون؛ نقش در تنظیم سلولی و مسیرهای سیگنالینگ
بیوشیمی و متابولیسم
پروتئین فسفوریلاسیون؛ نقش در تنظیم سلولی و مسیرهای سیگنالینگ
توسط عذرا شعبانی - ۱۴۰۴/۰۵/۰۵ 0 نظرات
چربی‌سوزی و متابولیسم لیپید؛ بتا-اکسیداسیون و اهمیت آن
بیوشیمی و متابولیسم
چربی‌سوزی و متابولیسم لیپید؛ بتا-اکسیداسیون و اهمیت آن
توسط عذرا شعبانی - ۱۴۰۴/۰۵/۰۵ 0 نظرات
مسیر فسفریلاسیون سوبسترا و اکسیداتیو؛ تفاوت و کاربرد
مسیرهای متابولیک
مسیر فسفریلاسیون سوبسترا و اکسیداتیو؛ تفاوت و کاربرد
توسط عذرا شعبانی - ۱۴۰۴/۰۵/۰۳ 0 نظرات
مسیر لاکتات/پیرولیز؛ ارتباط با ورزش و متابولیسم بی هوازی
بیوشیمی و متابولیسم
مسیر لاکتات/پیرولیز؛ ارتباط با ورزش و متابولیسم بی هوازی
توسط عذرا شعبانی - ۱۴۰۴/۰۵/۰۳ 0 نظرات
پپتید و پروتئین: تفاوت، توابع و ساختار
بیوشیمی و متابولیسم
پپتید و پروتئین: تفاوت، توابع و ساختار
توسط عذرا شعبانی - ۱۴۰۴/۰۵/۰۳ 0 نظرات
کربوهیدرات متابولیزم: گلوکگونز، گلوکولیز و گلیکوژنس
بیوشیمی و متابولیسم
کربوهیدرات متابولیزم: گلوکگونز، گلوکولیز و گلیکوژنس
توسط عذرا شعبانی - ۱۴۰۴/۰۵/۰۳ 0 نظرات
گلیکولیز چیست؟ مسیر، واکنش‌ها و اهمیت آن
بیوشیمی و متابولیسم
گلیکولیز چیست؟ مسیر، واکنش‌ها و اهمیت آن
توسط عذرا شعبانی - ۱۴۰۴/۰۵/۰۲ 0 نظرات
چرخه کربس (TCA) به زبان ساده؛ مراحل، آنزیم‌ها و محصولات
بیوشیمی و متابولیسم
چرخه کربس (TCA) به زبان ساده؛ مراحل، آنزیم‌ها و محصولات
توسط عذرا شعبانی - ۱۴۰۴/۰۵/۰۲ 0 نظرات
فسفریلاسیون اکسیداتیو در میتوکندری؛ چگونه ATP تولید می‌شود؟
مسیرهای متابولیک
فسفریلاسیون اکسیداتیو در میتوکندری؛ چگونه ATP تولید می‌شود؟
توسط عذرا شعبانی - ۱۴۰۴/۰۵/۰۲ 0 نظرات
مشترک شدن در خبرنامه ما

تمام آخرین اطلاعات در مورد رویدادها، فروش ها و پیشنهادات را دریافت کنید.

logo-footer آریاطب

خيابان وليعصر ، نرسيده به جمهوري ، بالاتر از ایستگاه جامی ، ساختمان آریاطب

09021429565 09337672002
لینک های ما
  • قوانین و مقررات
  • نحوه ثبت سفارش
  • مشاهده سبد خرید
  • پیگیری سفارش
  • علاقه مندی های من
  • تماس با آریاطب
درگاه پرداخت نکست پی

تمامی حقوق برای شرکت آریاطب محفوظ می باشد.

Design by Arya It

خانه

تماس با ما

حساب کاربری

سبد خرید

سبد خرید شما خالی می باشد!

جستجو

  • منوی اصلی
  • خانه
  • مقالات
    • توانبخشی
    • بیماری ها
      • دیابت و قند خون
      • بیماری های زنان
      • سایر بیماری ها
    • پوست مو
    • مادر فرزند
      • زردی نوزاد
      • بارداری
    • مهندسی پزشکی
    • اکسیژن (کپسول)
    • دانش نامه علوم زیستی
      • دستگاه آزمایشگاهی
      • ظروف آزمایشگاهی
      • مواد آزمایشگاهی
      • زیست مولکولی و ژنتیک
      • بیوشیمی و متابولیسم
      • میکروبیولوژی عمومی
      • قارچ‌ شناسی (مایکولوژی)
      • علوم اعصاب و نوروبیولوژی
      • فیزیولوژی جانوری و انسانی
      • فیزیولوژی و زیست‌ شناسی گیاهی
      • زیست‌ شناسی سلولی و بافت‌ شناسی
      • بیوفیزیک
      • بیوانفورماتیک و تحلیل داده‌های زیستی
      • اکولوژی و بوم‌ شناسی
      • علوم محیط زیست
      • زیست‌ فناوری (بیوتکنولوژی)
      • تکامل و ژنتیک جمعیت
      • جانور شناسی و رفتار جانوری
      • نانو فناوری
      • حیوانات آزمایشگاهی و اخلاق در پژوهش
      • فیلوژنی و درخت‌ های تبارزایی
      • آناتومی انسانی و تطبیقی
      • آناتومی ماکروسکوپی و میکروسکوپی
      • سرطان‌ شناسی (انکواوژی)
      • جنین‌ شناسی و تکوین
      • هماتولوژی
    • ابزار جراحی
    • دندانپزشکی
    • تجهیزات هتلینگ
    • مانکن پزشکی
    • جراحی زیبایی
    • پزشکی خانگی
      • گوشی پزشکی لیتمن
  • بانک اطلاعات
    • زیبایی
    • آزمایشگاه ها
    • پزشکان
    • اجاره دستگاه پزشکی
    • مراکز رادیولوژی
    • خانه پرستاری
    • بیمارستانی
    • تعمیرات کالیبراسیون
    • اجاره دستگاه زردی نوزاد
    • فروشندگان تجهیزات پزشکی
  • تماس با ما
  • دسته بندی ها:
  • تجهیزات کاردرمانی
    • تجهیزات سرما و گرما درمانی
    • تجهیزات تمرین درمانی
    • تجهیزات مکانوتراپی
    • تجهیزات الکتروتراپی
    • تجهیزات ایستادن و راه رفتن
    • تجهیزات ارزیابی
    • تجهیزات اتاق تاریک
    • تجهیزات ورزشی _ توانبخشی
  • پزشکی خانگی
    • پانسمان نوین
      • پانسمان فوم
      • پانسمان آلژینات
      • پانسمان هیدروکلوئید
      • پانسمان فیلم شفاف
      • پانسمان هیدروژل
      • پانسمان فوق جاذب
      • پانسمان نقره
      • پانسمان کلاژن
      • پانسمان کامفیل
      • پانسمان عسل
      • سایر پانسمان ها
    • استومی
      • کیسه کلستومی
      • کیسه یوروستومی
      • کیسه ایلئوستومی
      • چسب پایه
      • سایر محصولات استومی
    • ارتوپدی توانبخشی
      • ویلچر
      • واکر
      • عصا
      • پد و کیسه آب گرم سرد
      • گرمکن پا
      • تشک پتوی برقی
      • بالابر بیمار
      • تشک مواج
      • توالت فرنگی
      • بالش طبی
      • ماساژور
    • دیابت
      • دستگاه تست قند خون
      • نوار تست قند خون
      • تزریق انسولین
      • سایر محصولات دیابت
    • سلامت محیط
      • دستگاه بخور
      • اکسیژن ساز
      • کپسول اکسیژن
      • مانومتر
      • سایر تجهیزات تنفسی
      • نبولایزر
    • سنجش سلامت
      • تب سنج دماسنج
      • ترازو
      • فشار سنج
    • مادر و کودک
      • شیردوش
      • بالش بارداری
    • پوشینه های پزشکی
      • جوراب واریس
      • شکم بند
      • زانو بند
      • قوز بند
      • مچ بند
      • ساق بند
      • آویز دست
      • قوزک بند
      • گن
      • گردنبند طبی
  • پزشکی تخصصی
    • مصرفی پزشکی
      • گاز کیلویی
      • گاز استریل
      • تیغ بیستوری
      • مواد ضدعفونی کننده
      • پنبه بهداشتی
      • دستکش پزشکی
      • باند پانسمان
      • سایر اقلام مصرفی
      • چسب
      • پد الکلی
      • تزریق
      • سیفتی باکس
      • زیرانداز بیمار
    • بیمارستانی
      • فتوتراپی زردی نوزاد
      • گوشی پزشکی
      • کابل دستگاه های پزشکی
      • سایر تجهیزات پزشکی
      • دستبند بیمار
      • کاغذ پزشکی
      • لامپ های پزشکی
      • چراغ معاینه
    • تجهیزات هتلینگ
      • تخت بستری
      • تابوره
      • تخت پوست و مو و زیبایی
      • ترالی
      • سایر اقلام هتلینگ
      • تخت معاينه
      • تخت ژنیکو
      • سایر تخت ها
      • برانکارد
      • تخت اتاق عمل
      • صندلی خونگیری
    • منسوجات
      • اسکراب جراحی
      • پک های جراحی
      • البسه بیمار
      • البسه پرسنلی
      • ملحفه زیرانداز
      • سایر محصولات
      • کلاه جراحی
      • سرجی فیکس
      • ملحفه یکبار مصرف
    • زنان و زایمان
      • مصرفی مطب
      • دستگاه فتال
      • دستگاه سونیکید
      • ای یو دی
      • دستگاه لیزر زنان
      • کاغذ سونوگرافی
      • ابزار جراحی زایمان
    • ارتوپدی
    • تصویر برداری
      • رادیولوژی
      • داروی ظهور ثبوت
      • روپوش سربی
    • قلب و عروق
      • کاغذ نوار قلب
      • مصرفی قلب عروق
      • پالس اکسیمتر
      • دستگاه های قلب و عروق
      • چست لید
    • مولاژ
      • مانکن های آموزش پزشکی
      • مولاژ آناتومی انسان
      • استخوان بندی بدن انسان
  • پوست مو زیبایی
    • پوست و مو
      • سایر محصولات زیبایی
      • نخ لیفت
      • میکرونیدلینگ
      • کیت پی ار پی
      • ابزار زیبایی
    • محصولات لاغری
      • دستگاه‌های لاغری
      • دستگاه های فارادیک
      • دستگاه جی فایو
    • دستگاه های پوست
      • دستگاه هیدروفیشیال
      • دستگاه هیدرودرمی
  • تجهیزات و مواد آزمایشگاهی
    • سکوبندی و تجهیز آزمایشگاه
      • سینک و شیرآلات آزمایشگاهی
    • مواد آزمایشگاهی
      • محیط کشت
      • محصولات بیولوژی مولکولی
      • اسید
      • محلول
      • الکل
      • پلیمر
      • شناساگر
      • ترکیب آلی
      • نانو
      • سوش باکتری
      • ترکیب معدنی
    • ابزار آزمایشگاهی
      • پیپت
      • فیلتر ها و کاغذ های صافی آزمایشگاهی
      • لام و لامل
    • ظروف آزمایشگاهی
      • بالن
      • ارلن
      • بشر
      • قیف
      • لوله
      • بورت
      • مزور
      • رک
      • مبرد
      • گیره
      • ظروف نگهداری
      • سایر ظروف
    • دستگاه آزمایشگاهی
      • بن ماری
      • روتاری آزمایشگاهی
      • میکسر هماتولوژی
      • اتوکلاو
      • شیکر
      • اتوکلاو کلاس b
      • ترازو آزمایشگاهی
      • سانتریفیوژ
      • فور
      • انکوباتور
      • ابزار سنجش
      • هود
      • کوره
      • هات پلیت
      • دستگاه آب مقطر گیری
      • سایر دستگاه‌ها
    • کیت آزمایشگاهی
      • کیت های زنان وزایمان
      • کیت ارزیابی اسپرم
      • کیت های اعتیاد
      • کیت های بیوشیمی
      • مارکر های قلبی
      • کیت غدد درون ریز
      • تست های بیماری های عفونی
      • تومور مارکرها
      • تست های کم خونی
      • تست های بیماری های خود ایمنی
      • تست های متابولیسم کلسیم
      • مارکر های دیابت | Diabetes Markers
      • مارکر های عملکرد کلیه
  • ابزار جراحی
    • ظروف استیل
    • جراحی عمومی
      • پنس
      • اکارتور
      • رانژور
      • استئوتوم
      • کلمپ جراحی
    • اره ارتوپدی | دریل ارتوپدی
    • ژنیکولوژی اورولوژی
    • قلب عروق
    • جراحی ارتوپدی
    • جراحی چشم
  • مواد و تجهیزات دندانپزشکی
    • مواد دندانپزشکی
      • مواد جرمگیری
      • کیت و مواد بلیچینگ
      • پودر استخوان
      • مواد اندو
      • گوتا پرکا
      • مواد ترمیمی
      • مواد قالبگیری
      • مواد عمومی
      • سمان ها
    • لوازم مصرفی دندانپزشکی
      • سینی یکبار مصرف
      • سرساکشن
      • وج
      • دهان بازکن
      • رول پنبه
      • نوار ماتریکس
      • سر سوزن
    • ابزار دندانپزشکی
      • ابزار استیل
      • ابزار قالبگیری
      • فرز
      • ابزار اندو
      • ابزار پالیش
      • ابزار ارتودنسی
      • ابزار ترمیمی
      • فورسپس
      • الواتور
      • سوند دندانپزشکی
      • رابردم
      • کلمپ دندانپزشکی
    • تجهیزات دندانپزشکی
      • لایت کیور دندانپزشکی
      • دندان پزشکی دیجیتال
      • اتوکلاو دندانپزشکی
      • تجهیز مطب
      • دوربین رادیوگرافی دیجیتال
      • وی پک
      • دستگاه جرمگیری
      • آنگل دندانپزشکی
      • هندپیس دندانپزشکی
      • توربین دندانپزشکی
      • ایرموتور دندانپزشکی
      • موتور روتاری اندو
      • موتور ایمپلنت
      • اپکس فایندر | اپکس لوکیتور
      • آمالگاماتور
      • ایریگیشن دندانپزشکی | اندو اكتيواتور
      • دستگاه پک اتوکلاو
    • واتر جت
  • خدمات پزشکی
    • خدمات پزشکی در منزل
      • خدمات ارتوپدی
      • خدمات آزمایشگاهی
      • خدمات پاراکلینیک
      • روانشناسی
      • پزشکی عمومی
      • ویزیت پزشک در منزل
      • کاردرمانی
      • خدمات دندانپزشکی
    • خدمات پرستاری در منزل
      • نگهداری کودک
      • مراقبت از سالمند
      • پرستاری از بیمار
      • نگهداری بیمار در بیمارستان
      • نگهداری از نوزاد
    • اجاره تجهیزات هتلینگ
    • اجاره دستگاه پزشکی
    • خانه سالمندان
    • اجاره دستگاه فتوتراپی
  • تعمیرات
    • چشم پزشکی
      • تعمیر اسلیت لمپ
      • تعمیر اتوسکوپ
      • تعمیر افتالموسکوپ
      • تعمیر بیومتری
      • تعمیر لنزومتر
      • تعمیر کراتومتر
      • تعمیر تونومتر
      • تعمیر پریمتری
      • تعمیر پاکیمتری
      • تعمیر توپوگرافی
      • لامپ چشم پزشکی
    • تعمیرات بیمارستانی
      • تعمیرات مانیتورینگ
      • تعمیر پمپ تزریق
      • تعمیر الکتروشوک
      • تعمیر تجهیزات هتلینگ
      • تعمیر سونوگرافی
      • تعمیر تصویربرداری
      • تعمیر سیگنال پزشکی
      • تعمیر سایر دستگاه ها
      • لامپ بیمارستانی
      • تعمیر باتری دستگاه پزشکی
    • تعمیرات دندانپزشکی
      • تعمیر عمومی و اپراتوری
      • تعمیر استریلیزاسیون
      • تعمیر تجهیزات تراش برش
      • تعمیر انواع اندو
      • تعمیر تجهیزات تشخیصی
      • تعمیر تجهیزات مطب
      • تعمیر پروتز و لابراتواری
      • تعمیر جراحی و ایمپلنتولوژی
      • لامپ دندانپزشکی
    • ازمایشگاهی
      • لامپ ازمایشگاهی
    • دستگاه های زیبایی
ارتباط با ما
شماره های تماس
  • 09021429565
  • 09337672002
لینک اتصال به واتساپ مصرفی پزشکی
  • 09362385129
لینک اتصال به واتساپ زیبایی
  • 09337672002
لینک اتصال به اینستاگرام آریاطب
  • اینستاگرام مصرفی پزشکی
  • اینستاگرام زیبایی
  • اینستاگرام ناخن
  • اینستاگرام آزمایشگاهی
ارتباط با ما
لینک اتصال به اینستاگرام آریاطب
  • اینستاگرام مصرفی پزشکی
  • اینستاگرام زیبایی
  • اینستاگرام ناخن
  • اینستاگرام آزمایشگاهی
ارتباط با ما
لینک اتصال به واتساپ مصرفی پزشکی
  • 09362385129
لینک اتصال به واتساپ زیبایی
  • 093376720029337672002
ارتباط با ما
صفحات یوتیوب آریاطب
  • یوتیوب مصرفی
  • یوتیوب زیبایی
  • یوتیوب آزمایشگاهی
  • یوتیوب جراحی
  • یوتیوب دندانپزشکی