توئین
- رشد باسیل های سل
- تجزیه و تحلیل وسترن بلات
- استخراج انتخابی پروتئینها
تویین ۲۰
تویین ۲۰ یک عامل امولسیفایر و سورفکتانت غیر یونی در ترکيبات میباشد. اغلب در محصولات مراقبت شخصی و غذاها استفاده میشود.
توئین ۲۰ به دلیل غیر سمی و پایداری در مصارفی از قبیل : کاربردهای دارویی، خانگی و همچنین به عنوان امولسیون کننده، شوینده، روانکننده روغن، محصولات مراقبتی و غذاها استفاده میشود.
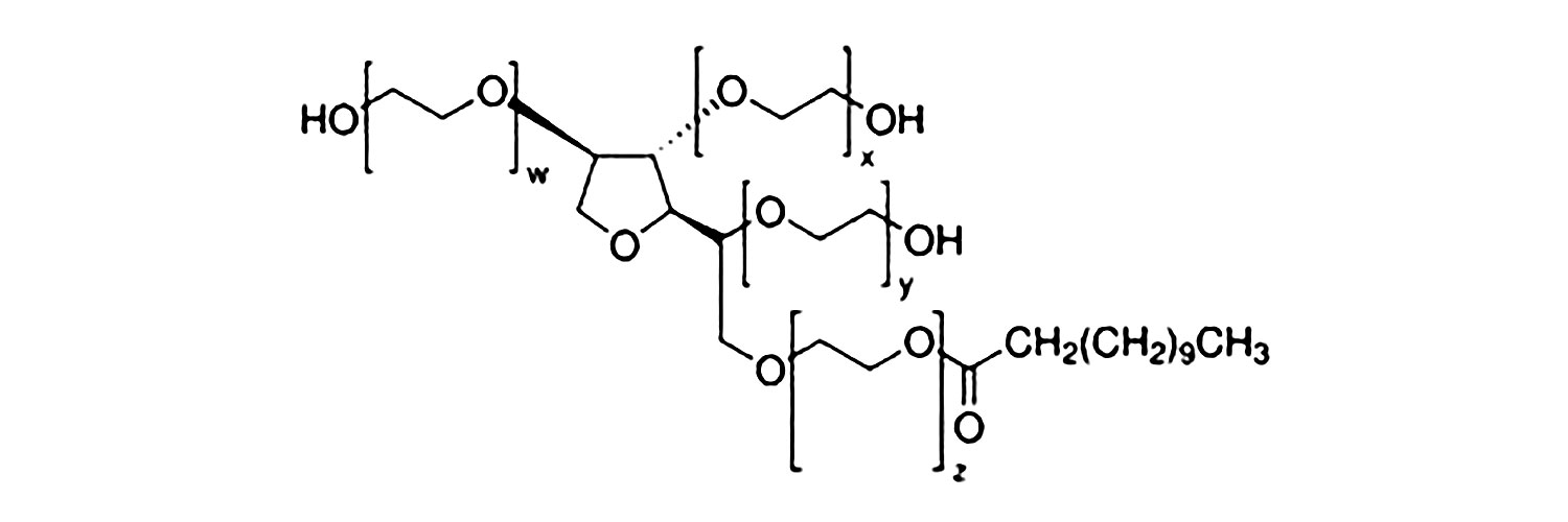
عدد ۲۰ در تویین ۲۰ نشان دهنده تعداد واحدهای تکرار شونده در زنجیره هیدروکربنی آن میباشد. رنگ تویین ۲۰ زرد و به صورت محلول در آب و چسبناک میباشد.
تویین ۲۰ به دلیل خاصیت امولسیون کنندهای که دارد میتواند حلالهای مواد مختلف مانند ویتامینها و روغنهای محلول در روغن باشد. در بعضی مواقع خاصیت مرطوب کنندگی را نیز ایفا میکند.
تویین ۲۰ یک ماده آبدوست میباشد و یکی از روشهای تشخیص آب دوست بودن تویین ۲۰ بررسی عدد آب دوستی یا HLB آن میباشد. بازهی این عدد از ۰ الی ۲۰ بوده و هرچقدر این عدد به ۲۰ نزدیکتر باشد نشانهی آبدوست بودن تویین ۲۰ و هرچقدر به عدد ۰ نزدیکتر باشد، چربی سوزتر بود تویین ۲۰ را نشان خواهد داد. عدد آبدوستی تویین ۲۰ ، ۱۶/۷ میباشد که نشان دهندهی ابدوست بودن آن است.
دانلود pdf لیست علائم اخطار مواد شیمیایی(GHS)
قیمت تویین 20
به عنوان ماده ضد الکتریسیته، روان کننده الیاف ، ساکن و امولسیون کننده نهایی از تویین ۲۰ استفاده میشود.
از تویین ۲۰ در بیولوژیکی برای غیر فعال سازی ویروسها، استخراج پروتئینهای غشایی و آماده سازی محل کشت میکروارگانیسمها استفاده میشود.
tween 20 در اسپریهای خنک کننده دهان استفاده میشود. بیشترین کاربرد تویین ۲۰ به صورت مستقیم و به عنوان طعم دهنده مصنوعی و به صورت غیرمستقیم به عنوان افزودن آن به مواد غذایی یا یک ماده چسبنده در صنایع غذایی تایید شده مورد استفاده قرار میگیرد.
تویین ۲۰ در صنایع آرایشی و بهداشتی برای مطمئن شدن از مخلوط شدن مواد روغنی و ایجاد کف در محصولات شوینده استفاده میشود. وجود تویین در فرمولاسیون مایع شستشوی بدن، صورت و محصولات معطر به گونهای است که قابلیت پخش محصولات روی پوست را افزایش داده و عطر و شفافیت محصولات را حفظ خواهد کرد.
تویین ۲۰ در برابر الکترولیتها، بازها و اسیدهای ضعیف، حساس و پایدار هستند. کاربرد تویین ۲۰ در صنعت به رطوبت ساز و برای از بین بردن باقیمانده برچسبهای کاغذی میتوان اشاره کرد.
همچنین از تویین برای جلوگیری از جذب سطح تجمع پروتئین استفاده میشود. تویین ۲۰ برای اسیدیهای چرب مختلف بر پایداری محصولات بیولوژیکی تاثیر گذاشته است. از تویین ۲۰ به عنوان ویسکوزیته و اصلاح کننده استفاده میشود و همچنین از تغییرات ویسکوزیته در دمای گرم و سرد جلوگیری میکند.
از تویین ۲۰ برای ثبت کردن سوسپانسیونها و امولسیونها استفاده میشود. از تویین ۲۰ در اصلاح جاذبهای مواد، مرطوب کننده، تمیز کننده، حلال برای لنزهای تماسی چشم، ضد روماتیسم، ضد درد موضعی و همچنین در داروهایی که از تویین ۲۰ استفاده شده است برای بهبود ساختار مولکولی بسیار پر کاربرد بوده است.

قیمت تویین 20
پراکنده کننده و امولسیون کننده در محصولات غذایی و دارویی
رشد باسیلهای سل
جداسازی هستهها از ردههای سلولی پستانداران
استخراج انتخابی پروتئینها
تجزیه و تحلیل وسترن بلات
پیش استخراج غشاها برای حذف پروتئینهای محیطی
لیز سلولهای پستانداران
سنجش ایمونواسی مبتنی بر غشا
روش ایمونوسوربنت مرتبط با آنزیم.
تویین ۲۰ مرک
تویین ۲۰، با نام شیمیایی پلی سوربات ۲۰، یک سورفکتانت غیر یونی است که به طور گسترده در صنایع مختلف، از جمله داروسازی، غذایی، آرایشی و بهداشتی و آزمایشگاهی استفاده میشود. این محصول توسط شرکت مرک آلمان تولید میشود و به دلیل کیفیت بالا و خلوص آن، یکی از پرکاربردترین انواع تویین در بازار محسوب میشود.
ویژگیهای تویین ۲۰ مرک:
-
ساختار مولکولی: تویین ۲۰ از یک هسته سوربیتان تشکیل شده که به چندین زنجیره اتیلن گلیکول و اسید لوریک متصل است. این ساختار منجر به خواص امولسیفایری و مرطوبکنندگی قوی این ماده میشود.
-
حلالیت: تویین ۲۰ در آب و بسیاری از حلالهای آلی مانند اتانول، متانول و اتیل استات محلول است.
-
غیر سمی و زیست تخریبپذیر: تویین ۲۰ به طور کلی به عنوان یک ماده غیر سمی و زیست تخریبپذیر شناخته میشود و در غلظتهای معمول استفاده، خطرات کمی برای سلامتی انسان و محیط زیست دارد.
-
ثبات شیمیایی: تویین ۲۰ در برابر تغییرات pH و دما نسبتاً پایدار است.
کاربردهای تویین ۲۰ مرک:
-
صنعت داروسازی:
-
به عنوان امولسیفایر در تولید امولسیونها و سوسپانسیونهای دارویی
-
به عنوان حلال برای افزایش حلالیت برخی از مواد موثر دارویی
-
به عنوان عامل مرطوبکننده در فرمولاسیونهای پوستی
-
-
صنعت غذایی:
-
به عنوان امولسیفایر در تولید محصولات لبنی، بستنی، سسها و محصولات پخته شده
-
به عنوان عامل پایدارکننده در تولید نوشیدنیها
-
به عنوان عامل ضد کف
-
-
صنعت آرایشی و بهداشتی:
-
به عنوان امولسیفایر در تولید لوسیونها، کرمها و شامپوها
-
به عنوان عامل مرطوبکننده در محصولات پوستی
-
به عنوان عامل پخشکننده رنگدانهها
-
-
صنعت آزمایشگاهی:
-
به عنوان عامل مرطوبکننده در تهیه نمونههای بافت
-
به عنوان عامل لیز کننده در استخراج پروتئینها و لیپیدها
-
به عنوان افزودنی در محیطهای کشت سلولی
-
مزایای استفاده از تویین ۲۰ مرک:
-
کارایی بالا: تویین ۲۰ به دلیل خواص امولسیفایری و مرطوبکنندگی قوی، کارایی بالایی در بهبود خواص فیزیکی و شیمیایی محصولات دارد.
-
سازگاری با سایر مواد: تویین ۲۰ با بسیاری از مواد دیگر سازگاری دارد و به راحتی در فرمولاسیونهای مختلف قابل استفاده است.
-
ایمنی: تویین ۲۰ به طور کلی به عنوان یک ماده ایمن شناخته میشود و در غلظتهای معمول استفاده، خطرات کمی برای سلامتی انسان و محیط زیست دارد.
-
در دسترس بودن: تویین ۲۰ به راحتی در بازار قابل دسترسی است و با قیمتهای مناسب عرضه میشود.
نکات مهم هنگام استفاده از تویین ۲۰:
-
غلظت مناسب: انتخاب غلظت مناسب تویین ۲۰ برای هر کاربرد خاص بسیار مهم است. غلظت زیاد ممکن است باعث ایجاد کف یا کاهش پایداری محصول شود.
-
توافق با سایر مواد: قبل از استفاده از تویین ۲۰ در یک فرمولاسیون، باید سازگاری آن با سایر مواد را بررسی کرد.
-
شرایط نگهداری: تویین ۲۰ باید در ظروف در بسته، در دمای اتاق و دور از نور مستقیم خورشید نگهداری شود.
جمعبندی:
تویین ۲۰ مرک یک سورفکتانت بسیار کاربردی و پرطرفدار است که به دلیل خواص منحصر به فرد خود، در صنایع مختلف مورد استفاده قرار میگیرد. اگر قصد استفاده از تویین ۲۰ در فرمولاسیونهای خود را دارید، توصیه میشود قبل از استفاده، اطلاعات کاملی در مورد این ماده و کاربردهای آن کسب کنید.
آدرس ایمیل شما منتشر نخواهد شد. فیلدهای الزامی علامت گذاری شده اند *
