به فروشگاه اینترنتی آریاطب خوش آمدید!

قیمت همکاری

دسته بندی ها:

برند ها:

لندینگ:

محصولات:

ویتامین B12

شناسه محصول: 13656
برند: مرک

تماس بگیرید


به علت نوسانات قیمت امکان ثبت سفارش به صورت آنلاین مقدور نمی باشد ، لطفا تماس حاصل فرمایید .
تماس بگیرید
قیمت ویژه همکاران
اکانت شما ویژه همکاران نمی باشد
در صورت تمایل به همکاری با مجموعه آریاطب شماره موبایل خود را وارد نمایید

ویتامین ب 12

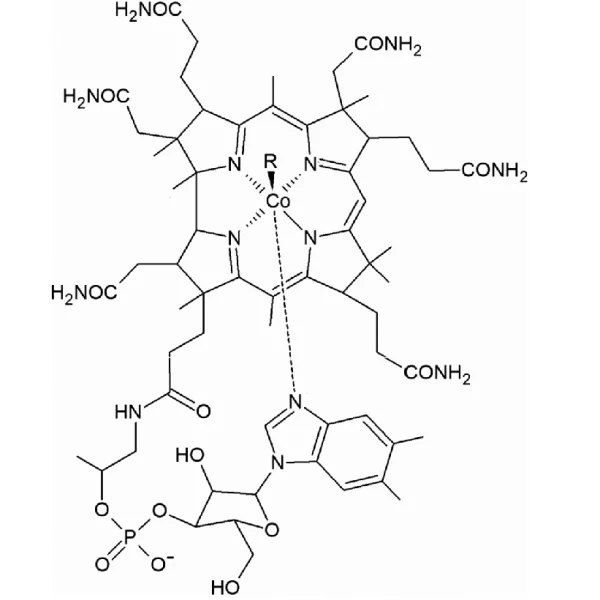
ویتامین B12 که به اختصار ویتامین B12 نامیده می شود، همچنین به عنوان کوبالامین شناخته می شود و یکی از ویتامین های B است، یک کلاس از ترکیبات آلی پیچیده حاوی کبالت کلاس کورین و حاوی کبالت سه ظرفیتی در صفحه کورین پورفیرین مشابه در مرکز  حلقه. این بزرگترین و پیچیده ترین مولکول ویتامینی است که کشف شده است.  همچنین تنها ویتامین دارای یون فلزی است.  کریستال قرمز رنگ است و به آن ویتامین قرمز نیز می گویند. این گیاه حاوی ویتامین B12  نیست و نمی تواند ویتامین B12 تولید کند.  کبد بهترین منبع ویتامین B12 است، سپس از شیر، گوشت، تخم مرغ، ماهی و غیره. 
ویتامین B12 یک کوآنزیم ضروری در سنتز RNA و DNA است. کمبود ویتامین B12 در داخل بدن می تواند باعث ایجاد تغییرات پاتولوژیک در سیستم عصبی مانند اعصاب محیطی و سیستم عصبی مرکزی شود. کشف ویتامین B12، قبل از هر چیز، باید به تحقیقات انجام شده توسط افراد در درمان بیماری نسبت داده شود.  کم خونی خطرناک که توسط پزشک بریتانیایی ادیسون نامگذاری شده است. کم خونی خطرناک در آن زمان نوعی سرطان غیر قابل درمان است.
خواص فیزیکی و شیمیایی
نقطه ذوب:  بیشتر از 300 درجه سانتیگراد 
نقطه جوش: بیشتر از 300 درجه سانتیگراد 
دمای اشتعال: 9 درجه سانتیگراد
شکل ظاهری: کریستال یا پودر قرمز 
انحلال پذیری: محلول در آب 
دمای ذخیره سازی: 2 الی 8 درجه سانتی گراد

روش های تولید
تعداد زیادی ویتامین B12 مصنوعی می تواند توسط اکتینومیست ها مانند Streptomyces sp. و تولید ویتامین B12 تولید شود.  
در محلول کشت از این نوع باکتری در صنعت استفاده می شود.  کل سنتز ویتامین B12 در سال 1973  توسط R.B. Wood تکمیل شد که یک کار بسیار برجسته در سنتز آلی است.
همچنین توسط زنجیره تخمیر قالب خاکستری پس از اسیدی شدن با یک رزین کاتیونی اکریلیک تبادل اسید ضعیف - جذب تهیه می شود و سپس شستشو داده می شود، خالص می شود، با حلال و استخراج آب به طور مکرر با سیانید 1 درصد تبدیل می شود و از استون متبلور شده تا محصول نهایی به دست آید.
کاربردها
•    کمبود ویتامین B12 می تواند باعث کم خونی، اختلالات سیستم عصبی شود.  می توان از آن در غذاهای نوزاد استفاده کرد، مقدار مصرف  μg/kg 10 ~ 30 است.  در مایع نوشیدنی تقویتی استفاده می شود و مقدار آن  μg/kg 2~6 است.
•    عمدتا برای درمان کم خونی مگالوبلاستیک، تغذیه نامناسب، کم خونی از دست دادن خون، نورالژی و اختلالات انسدادی استفاده می شود.
به عنوان تقویت کننده تغذیه خوراک، با اثرات ضد کم خونی کم خونی پرنیشیوز، کم خونی تغذیه ای، انگل ها و کم خونی و دوز موثر 15-30 mg/t می باشد.
•    ویتامین B12 برای متابولیسم بدن انسان ضروری است.  میانگین کل ویتامین B12 در بدن انسان2-5  میلی گرم است که 50-90 درصد آن در کبد ذخیره می شود، بدن باید در خون در تشکیل گلبول های قرمز آزاد شود.  کمبود مزمن B12 می تواند باعث کم خونی خطرناک شود.
•    B12 و اسید فولیک مهم تر از آنزیم‌ها در طول سنتز اسید نوکلئیک سلولی هستند که در سنتز پورین‌ها، پیریمیدین‌ها، اسیدهای نوکلئیک و متیونین نقش دارند و به متیل ترانسفراز اجازه می دهد تا سنتز پایه را تقویت کند.
•    در کشورهای توسعه یافته، ویتامین B12 کمپلکس با سایر مواد در لوازم آرایشی استفاده می شود.  
•    در صنایع غذایی، ویتامین B12 به عنوان ژامبون، سوسیس، بستنی، ماهی، گوشت و سایر رنگ‌های خوراکی استفاده می‌شود.  
•    در منازل، محلول ویتامین  B12 روی کربن فعال، زئولیت ها، پارچه های نبافته یا کاغذ جذب می شود تا به صابون، خمیر دندان و غیره تبدیل شود.  
•    می توان از آن برای دئودورانت توالت، یخچال، از بین بردن بوی سولفید و آلدئید استفاده کرد.  
•    ویتامین B12 همچنین در هالوژن زدایی خاک های حفاظت از محیط زیست و آلاینده های رایج در هالیدهای آلی آب های سطحی موجود است.

شرکت اینترنتی آریا طب فعال در زمینه فروش مواد شیمیایی صنعتی و آزمایشگاهی آماده ارائه خدمات در زمینه فروش ویتامین B12 در مقادیر دلخواه به مشتریان می باشد. این محصول ساخت مرک آلمان با کیفیت خوب و قیمت مناسب می باشد. اطلاعات محصول به شرح زیر است و برای اطلاع از قیمت و خرید ویتامین B12 می توانید جدول مقابل را مشاهده نمایید.

ویتامین B12 یا کوبالامین یکی از مهم ترین ویتامین های مورد نیاز موجودات زنده است. وجود این ویتامین برای تکثیر سلولی و عملکرد سیستم عصبی بسیار ضروری است و کمبود آن در بدن باعث کم خونی شدید و تغییرات گلبول های قرمز می شود که در این صورت انتقال اکسیژن به سلول ها مختل شده و باعث ضعیف شدن سلول ها می شود. سیستم ایمنی بدن را کاهش می دهد و تکثیر سلول های بدن را کاهش می دهد.

ویژگی های ویتامین B12

  • محلول در آب
  • رنگ قرمز
  • زیست سازگار
  • خلوص بالا
  • در دمای اتاق قابل نگهداری است

ویتامین B12    نام آیوپاک
68-19-9    CAS No.

استفاده از ویتامین B12

  • در صنعت داروسازی برای تهیه برخی از داروهای مولتی ویتامین

ویتامین B12 بخرید

خرید ویتامین B12 با کیفیت تضمینی و قیمت مناسب را می توانید از طریق همین صفحه به صورت آنلاین سفارش دهید. تمامی محصولات آریا طب با کیفیت تضمینی و قیمت مناسب در اختیار شما مشتریان قرار می گیرد و امکان ارسال به تمام نقاط تهران و ایران از طریق پست وجود دارد. جهت کسب اطلاعات بیشتر در مورد ویتامین B12 با همکاران ما در واحد فروش آریا طب تماس حاصل فرمایید.

خرید ویتامین B12 با کیفیت تضمینی و قیمت مناسب را می توانید از طریق همین صفحه به صورت آنلاین سفارش دهید. تمامی محصولات آریا طب با کیفیت تضمینی و قیمت مناسب در اختیار شما مشتریان قرار می گیرد و امکان ارسال به تمام نقاط تهران و ایران از طریق پست وجود دارد. جهت کسب اطلاعات بیشتر در مورد ویتامین B12 با همکاران ما در واحد فروش آریا طب تماس حاصل فرمایید.

نکات ایمنی
مسمومیت از راه زیر جلدی
از راه داخل صفاقی نسبتاً سمی است.  
یک تراتوژن تجربی  
اثرات تولید مثلی تجربی  
هنگامی که حرارت داده می شود تا تجزیه شود، بخارهای بسیار سمی POx و NOx منتشر می کند. 
نکات انبارداری
ویتامین B12 در دمای اتاق پایدار است.  نیازی به نگهداری در یخچال نیست.

0

میانگین امتیاز

0%توصیه شده(0 از 0)
0%
0%
0%
0%
0%
نظر خود را ارسال کنید

آدرس ایمیل شما منتشر نخواهد شد. فیلدهای الزامی علامت گذاری شده اند *

1 2 3 4 5
توجه: لطفاً پیش از انجام معامله و هر نوع پرداخت وجه، از صحت کالا یا خدمات ارائه شده در آگهی های زیر، به صورت حضوری اطمینان حاصل نمایید.
قیمت ویژه همکاران
اکانت شما ویژه همکاران نمی باشد
در صورت تمایل به همکاری با مجموعه آریاطب اطلاعات خود را وارد نمایید
اطلاع از موجودی
ارتباط با ما
شماره های تماس لینک اتصال به واتساپ مصرفی پزشکی لینک اتصال به واتساپ زیبایی لینک اتصال به اینستاگرام آریاطب
ارتباط با ما
لینک اتصال به واتساپ مصرفی پزشکی لینک اتصال به واتساپ زیبایی